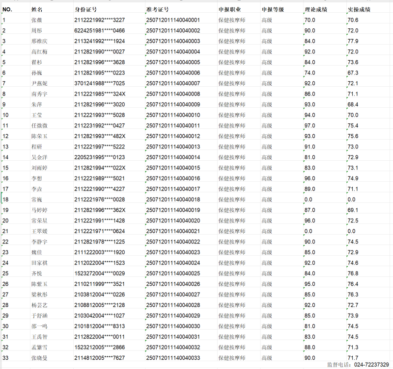
根据铁岭卫生职业学院2025年3月下发的关于职业技能等级认定简章的相关规定,现将2025年第六批次保健按摩师(高级)职业技能考试成绩予以公示。
2025年第六批次认定2025.7.12-考生成绩.xls